Particle-laden turbulent flows

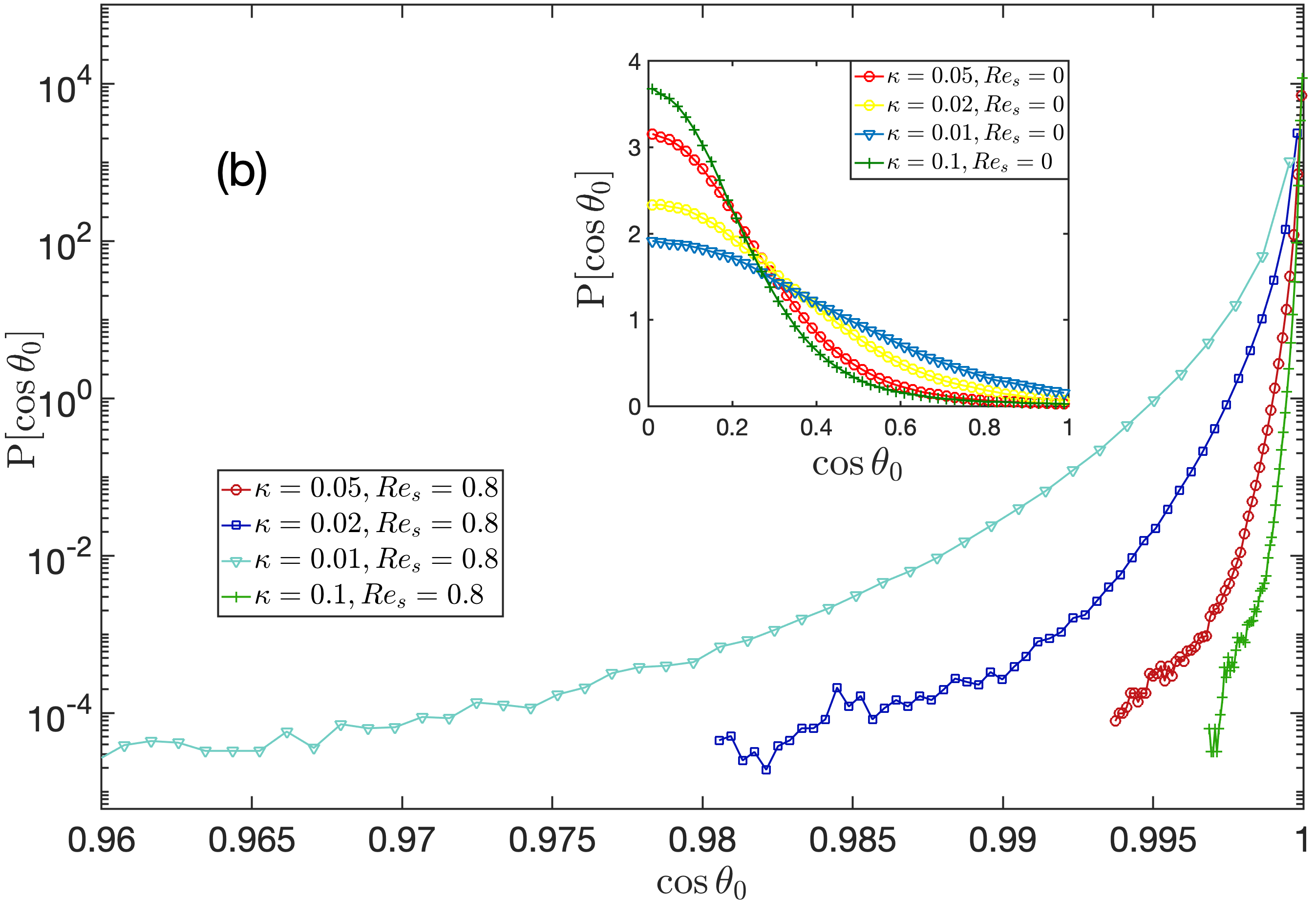
Broadside-on orientation distributions due to gravity-induced torque
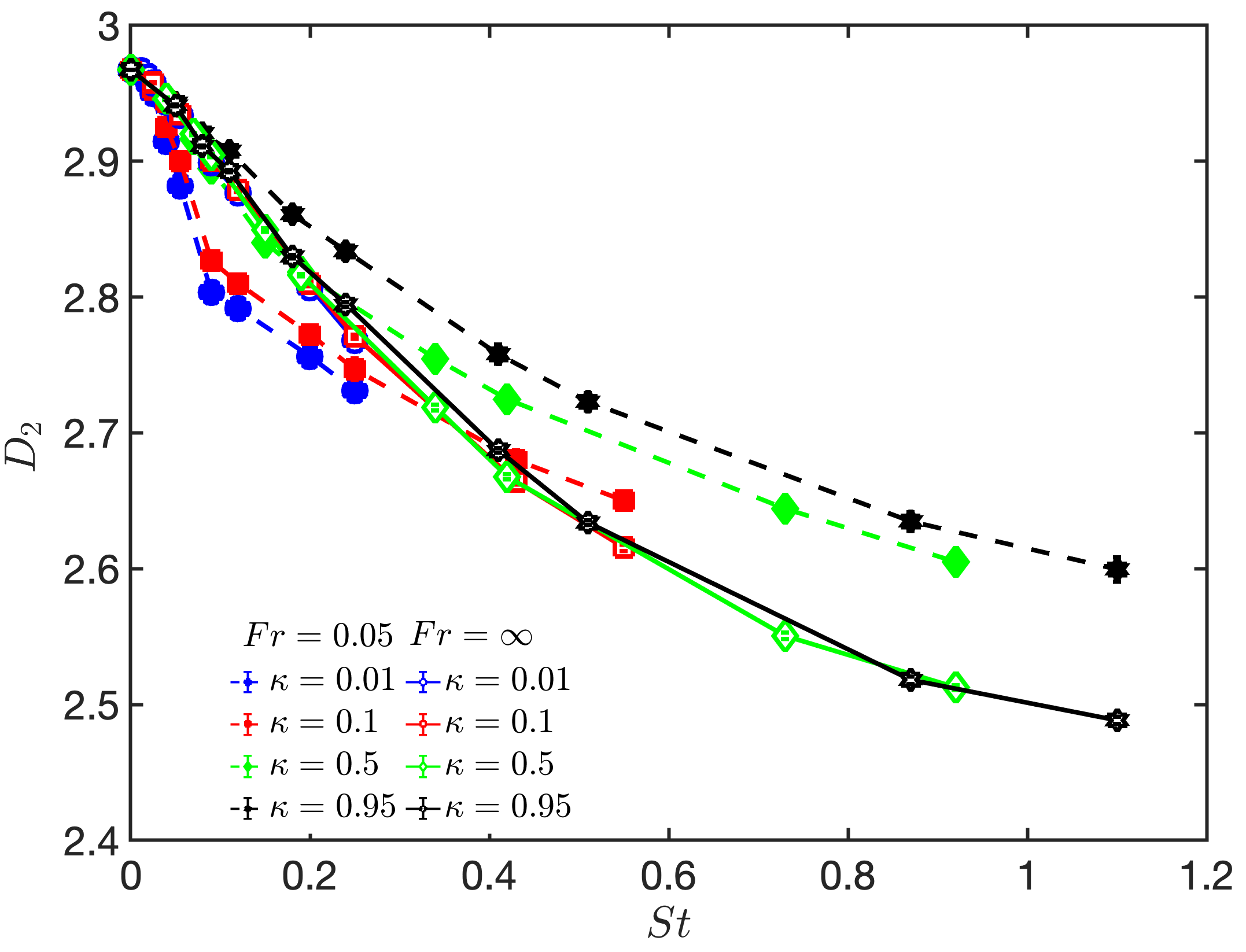
Small-scale clustering depends on the aspect ratio of the spheroid. The two figures on the RHS are for aspect ratios (a) 0.1, and (b) 0.95, respectively.